直齿圆柱齿轮各部分的名称和尺寸代号
1、齿顶圆--齿轮齿顶所在的圆。其直径(或半径)用da(或ra )表示。
2、齿根圆--齿轮齿槽底所在的圆。其直径(或半径)用df(或rf)表示。
3、分度圆--用来分度(分齿)的圆,该圆位于齿厚和槽宽相等的地方。其直径(或半径)用d(或r表示)。
4、齿顶高--齿顶圆与分度圆之间的径向距离,用ha表示。
5、齿根高--齿根圆与分度圆之间的径向距离,用hf表示。
6、全齿高--齿顶圆与齿根圆之间的径向距离,用h表示。显然有:
h = ha + hf
7、齿厚--一个齿的两侧齿廓之间的分度圆弧长,用s表示。
8、槽宽--一个齿槽的两侧齿廓之间的分度圆弧长,用e表示。
9、齿距--相邻两齿的同侧齿廓之间的分度圆弧长,用p表示。显然有:
p = s + e
10、齿宽--齿轮轮齿的宽度(沿齿轮轴线方向度量),用b表示。

直齿圆柱齿轮的基本参数和尺寸关系
齿数z 一个齿轮的轮齿总数。
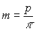
模数m 以z表示齿轮的齿数,那么齿轮的分度圆周长 =πd = z p。因此分度圆直径为:d=(p/p)·z,
式中:p/p称为齿轮的模数,用m表示,即
![]()
要使两个齿轮能啮合,它们的齿距必须相等。因此互相啮合的两齿轮的模数m必须相等。
从d = mz中可见,模数m越大,轮齿就越大;模数m越小,轮齿就越小。
模数m是设计、制造齿轮时的重要参数。不同模数的齿轮,要用不同模数的刀具来加工制造。为了便于设计和减少加工齿轮的刀具数量,GBI357一78对齿轮的模数m已系列化,如下表所示。

在选用模数时,应优先采用第一系列的模数,其次是第二系列,括号内的尽可能不用。
压力角a (啮合角、齿形角) 在节点P处,两齿廓曲线的公法线与两节圆的公切线所夹的锐角称啮合角,也称压力角。我国采用的压力角a一般为20°,加工齿轮的原始基本齿条的法向压力角称齿形角。因此,压力角a=啮合角=齿形角。

当标准直齿圆柱齿轮的模数m确定后,按照与m的比例关系可算出轮齿的各基本尺寸。

直齿圆柱齿轮的画法
在GB4459.2一84中规定了齿轮的画法。现介绍如下:
单个齿轮的画法
应注意齿轮轮齿部分并不是按真实形状投影画出;而是用简单的规定画法来表示。

单个圆柱齿轮一般用二个视图表达,规定画法中规定齿顶圆和齿顶线用粗实线绘制,分度圆和分度线用点划线绘制,齿根圆和齿根线用细实线绘制(也可省略不画);
在剖视图中,当剖切平面通过齿轮的轴线时,轮齿部分一律按不剖处理,此时齿根线则要用粗实线来绘制,齿轮的其他部分仍按照实际形状投影绘制。
当需要表示斜齿或人字齿的齿线时,可用三条与齿线方向一致的细实线表示其形状。
啮合画法
在平行于直齿圆柱齿轮轴线的投影面上的视图中,如(a)所示,啮合区的齿顶线不需画出,节线用粗实线绘制。其他处的节线仍用点划线绘制。
在垂直于直齿圆柱齿轮轴线的投影面上的视图中,啮合区内的齿顶圆可以均用粗实线绘制,如(b)所示,也可省略不画如(c)所示。

当需要表示齿线的形状时,同样可用三条与齿线方向一致的细实线来表示。
在剖视图中,当剖切平面通这两啮合齿轮的轴线时,在啮合区内将一个齿轮(一般指主动齿轮)的轮齿用粗实线绘制;另一齿轮的被遮部分用虚线绘制,也可省略不画。应注意:齿根高与齿顶高相差0.25mm,因此两齿轮的根线与顶线之间应有0.25mm间隙。
直齿圆柱齿轮的工作图

在齿轮工作图中,除具有一般零件工作图的内容外,齿顶圆直径、分度圆直径必须直接注出,齿根圆直径规定不注;并在图样右上角画出参数表,应注写清楚齿轮模数、齿数、齿形角等基本参数(参数表中列出的参数项目可根据需要增减,检验项目按功能要求而定)。
1;所有标注为智造资料网zl.fbzzw.cn的内容均为本站所有,版权均属本站所有,若您需要引用、转载,必须注明来源及原文链接即可,如涉及大面积转载,请来信告知,获取《授权协议》。
2;本网站图片,文字之类版权申明,因为网站可以由注册用户自行上传图片或文字,本网站无法鉴别所上传图片或文字的知识版权,如果侵犯,请及时通知我们,本网站将在第一时间及时删除,相关侵权责任均由相应上传用户自行承担。
[complaint:内容投诉]
智造资料网打造智能制造3D图纸下载,在线视频,软件下载,在线问答综合平台 » 直齿圆柱齿轮的画法(图文教程)

