一、过盈联接的特点及应用
过盈联接是利用零件间的配合过盈来达到联接目的的。这种联接也称干涉配合联接或紧配合联接。
过盈联接主要用于轴与毂的联接、轮圈与轮芯的联接以及滚动轴承与轴或座孔的联接等。
过盈联接结构简单、对中性好、承载能力大、承受冲击性能好、对轴削弱少,但配合面加工精度要求高、装拆不便。
二、过盈联接的工作原理
过盈联接之所以能传递载荷,原因在于零件具有弹性和联接具有装配过盈。装配后包容件和被包容件的径向变形使配合面间产生很大的压力,工作时载荷就靠着相伴而生的摩擦力来传递。
当配合面为圆柱面时,可采用压入法或温差法(加热包容件或冷却被包容件)装配。当其它条件相同时,用温差法能获得较高的摩擦力或力矩,因为它不像压入法那样会擦伤配合表面。采用哪一种装配法由工厂设备条件、过盈量大小、零件结构和尺寸等决定。
过盈联接的应用实例:


曲轴过盈联接组装件 轴与轴承、齿轮的过盈联接及拆开时用的注油螺口管道
三、过盈联接的设计计算
过盈联接主要用以承受轴向力、传递转矩,或者同时承受以上两种载荷。为了保证过盈联接的工作能力,须作以下两方面的分析计算:
①在已知载荷的条件下,计算配合面间所需产生的压力和产生这个压力所需的最小过盈量;
②在选定的标准过盈配合下,校核联接诸零件在最大过盈量时的强度。
1、配合面所需的径向压力p
●传递轴向载荷F时
当联接传递轴向载荷F时,应保证联接在此载荷下不产生轴向滑移。即应保证:轴向摩擦阻力Ff≥外载荷F。这时有以下关系


承受轴向力的过盈联接
式中:p─径向压力;
d─配合面的公称直径;
l─配合面的长度;
f─配合面间的摩擦系数;表

●传递转矩T 时
当联接传递转矩T 时,应保证联接在此转矩下不产生周向滑移。即应保证:轴向摩擦阻力矩Mf≥转矩T 。这时有以下关系


承受转矩的过盈联接
●同时承受轴向载荷F和转矩T 时
径向压力p为:

2、过盈联接的最小过盈量δmin
根据材料力学有关知识,在径向压力为p时的最小过盈量为:

式中:Δmin─最小过盈量,单位为μm;
E1、E2─被包容件和包容件材料的弹性模量,单位为MPa;
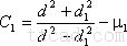
C1─被包容件的刚性系数,
;
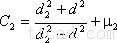
C2─包容件的刚性系数,
;
d1、d2─分别为被包容件的内径和包容件的外径,单位为mm;
μ1、μ2─分别为被包容件和包容件材料的泊松比。
当采用胀缩法装配时,最小有效过盈量δmin=Δmin。
当采用压入法装配时,考虑配合表面的微观峰尖将被擦去或压平一部分,这时最小有效过盈量应为: δmin=Δmin+0.8(Rz1+Rz2)
Rz1、Rz2─分别为被包容件和包容件配合表面上微观不平度的十点高度,单位为μm。
应该指出:实践证明,不平度较小的两表面相配合时贴合的情况较好,从而可提高联接的紧固性。
1;所有标注为智造资料网zl.fbzzw.cn的内容均为本站所有,版权均属本站所有,若您需要引用、转载,必须注明来源及原文链接即可,如涉及大面积转载,请来信告知,获取《授权协议》。
2;本网站图片,文字之类版权申明,因为网站可以由注册用户自行上传图片或文字,本网站无法鉴别所上传图片或文字的知识版权,如果侵犯,请及时通知我们,本网站将在第一时间及时删除,相关侵权责任均由相应上传用户自行承担。
[complaint:内容投诉]
智造资料网打造智能制造3D图纸下载,在线视频,软件下载,在线问答综合平台 » 过盈联接(图文教程)

