滚子链传动的设计计算
1.滚子链传动的主要失效形式
链传动的主要失效形式有以下几种:
(1)链板疲劳破坏 链在松边拉力和紧边拉力的反复作用下,经过一定的循环次数,链板会发生疲劳破坏。正常润滑条件下,疲劳强度是限定链传动承载能力的主要因素。
(2)滚子套筒的冲击疲劳破坏 链传动的啮入冲击首先由滚子和套筒承受。在反复多次的冲击下,经过一定的循环次数,滚子、套筒会发生冲击疲劳破坏。这种失效形式多发生于中、高速闭式链传动中。
(3)销轴与套筒的胶合 润滑不当或速度过高时,销轴和套筒的工作表面会发生胶合。胶合限定了链传动的极限转速。
(4)链条铰链磨损 铰链磨损后链节变长,容易引起跳齿或脱链。开式传动、环境条件恶劣或润滑密封不良时,极易引起铰链磨损,从而急剧降低链条的使用寿命。
(5)过载拉断 这种拉断常发生于低速重载或严重过载的传动中。
2.滚子链传动的额定功率曲线
(1)极限传动功率曲线 在一定使用寿命和润滑良好条件下,链传动的各种失效形式的极限传动功率曲线如图13所示。曲线1是在正常润滑条件下,铰链磨损限定的极限功率;曲线2是链板疲劳强度限定的极限功率;曲线3是套筒、滚子冲击疲劳强度限定的极限功率;曲线4 是铰链胶合限定的极限功率。图中阴影部分为实 际使用的区域。若润滑不良、工况环境恶劣时,磨损将很严重,其极限功率大幅度下降,如图中虚线所示。

(2)许用传动功率曲线
为避免出现上述各种失效形式,图14给出了滚子链在特定试验条件下的许用功率曲线。

试验条件为:z1=19、链节数Lp=100、单排链水平布置、载荷平稳、工作环境正常、按推荐的润滑方式润滑、使用寿命15000h;链条因磨损而引起的相对伸长量Δp/p不超过3%。当实际使用条件与试验条件不符时,需作适当修正,由此得链传动的计算功率应满足下列要求
![]()
式中P0--许用传递功率(kW),由图14查取;
P--名义传递功率(kW);
KA--工作情况系数,见表4。
KZ--小链轮齿数系数,见表6.5,当工作点落在图6.14某曲线顶点左侧时(属于链板疲劳),查表中 ,当工作点落在某曲线顶点右侧时(属于滚子、套筒冲击疲劳)查表中;
KL--链长系数,根据链节数 ,查表6;
Kp--多排链系数,查表7。

3.滚子链传动的设计步骤和传动参数选择
(1)传动比i 链的传动比一般≤8,在低速和外廓尺寸不受限制的地方允许到10。如传动比过大,则链包在小链轮上的包角过小,啮合的齿数太少,这将加速轮齿的磨损,容易出现跳齿,破坏正常啮合。通常包角最好不小于120。,推荐传动比i=2~3.5。
(2)链轮齿数z1和z2 首先应合理选择小链轮齿数z1 。小链轮齿数不宜过少,过少时,传动不平稳、动载荷及链条磨损加剧,摩擦消耗功率增大,铰链的比压加大及链的工作拉力增大。但是z1不能太大,因为z1大,z2更大,不仅增大传动尺寸,而且铰链磨损后容易引起脱链,将缩短链的使用寿命。因为若链条的铰链发生磨损,将使链条节距变长、链轮节圆d` 向齿顶移动(图6.15)。节距增长量Δp与节圆外移量Δd`的关系,可由式(6.1)导出:

由此可知Δp一定时,齿数越多节圆外移量Δd`就越大,也越容易发生跳齿和脱链现象。
滚子链的小链轮齿数按表6.8推荐范围选择。

大链轮齿数z2按z2=iz1确定,一般应使z2≤120。
在选取链轮齿数时,应同时考虑到均匀磨损的问题。由于链节数最好选用偶数,所以链轮齿数最好选质数或不能整除链节数的数。
(3)链速和链轮的极限转速 链速的提高受到动载荷的限制,所以一般最好不超过12m/s。链轮的最佳转速和极限转速可参看图6.14。图中接近于最大许用传动功率时的转速为最佳转速,功率曲线右侧竖线为极限转速。
(4)链节距 链节距愈大,链和链轮齿各部尺寸也愈大,链的拉曳能力也愈大,但传动的速度不均匀性、动载荷、噪声等都将增加。因此设计时,在承载能力足够的条件下,应选取较小节距的单排链,高速重载时,可选用小节距的多排链。
(5)链的长度和中心距 若链传动中心距过小,则小链轮上的包角也小,同时啮合的链轮齿数也减少;若中心距过大,则易使链条抖动。一般可取中心距a=(30~50)p,最大中心矩amax≤80p 。
链的长度常用链节数Lp表示。按带传动求带长的公式可导出

式中 a--链传动的中心矩。
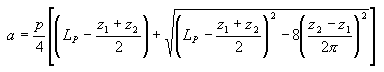
由此算出的链的节数,必须圆整为整数,且最好为偶数。然后根据圆整后的链节数用下式计算实际中心矩:

为了便于安装链条和调节链的张紧程度,一般中心距设计成可以调节的。若中心距不能调节而又没有张紧装置时,应将计算的中心距减小2~5mm。这样可使链条有小的初垂度,以保持链传动的张紧。

(7)主要尺寸(略)
1;所有标注为智造资料网zl.fbzzw.cn的内容均为本站所有,版权均属本站所有,若您需要引用、转载,必须注明来源及原文链接即可,如涉及大面积转载,请来信告知,获取《授权协议》。
2;本网站图片,文字之类版权申明,因为网站可以由注册用户自行上传图片或文字,本网站无法鉴别所上传图片或文字的知识版权,如果侵犯,请及时通知我们,本网站将在第一时间及时删除,相关侵权责任均由相应上传用户自行承担。
[complaint:内容投诉]
智造资料网打造智能制造3D图纸下载,在线视频,软件下载,在线问答综合平台 » 链传动设计及计算(4)(图文教程)

