一、/拉深过程中变形毛坯各部分的应力与应变状态

1.平面凸缘部分 —— 主要变形区
2.凹模圆角区 —— 过渡区
3.筒壁部分 —— 传力区
4.凸模圆角部分 —— 过渡区
5.圆筒底部分 —— 小变形区
二、/拉深变形过程的力学分析
1.凸缘变形区的应力分析
(1)拉深中某时刻变形区应力分布
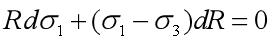
根据微元体的受力平衡可得

因为

取

并略去高阶无穷小,得:

塑性变形时需满足的塑性方程为 :

由上述两式,并考虑边界条件(当

时,

),经数学推导就可以求出径向拉应力,和切向压应力的大小为:


在变形区的内边缘(即

处)径向拉应力最大,其值为:

在变形区外边缘处压应力最大,其值为:






学习设计可联系13712128767罗老师(微信同号)
从零基础到模具设计精英,课程包含CNC数控编程培训、CNC数控机床操作实操、塑胶模具设计培训,
冲压模具设计培训,精雕、ZBrush圆雕培训、Solidworks产品设计培训、pro/E产品设计培训,
纯设计实战,重点是设计理念及设计思维的培养,设计参数的确定,加工经验传授等;
上班学习两不误,欢迎免费试学!地址:东莞市横沥镇新城工业区兴业路121号-潇洒职业培训学校
免责声明:
1;所有标注为智造资料网zl.fbzzw.cn的内容均为本站所有,版权均属本站所有,若您需要引用、转载,必须注明来源及原文链接即可,如涉及大面积转载,请来信告知,获取《授权协议》。
2;本网站图片,文字之类版权申明,因为网站可以由注册用户自行上传图片或文字,本网站无法鉴别所上传图片或文字的知识版权,如果侵犯,请及时通知我们,本网站将在第一时间及时删除,相关侵权责任均由相应上传用户自行承担。
[complaint:内容投诉]
智造资料网打造智能制造3D图纸下载,在线视频,软件下载,在线问答综合平台 » 拉伸模具之拉深过程中变形与毛坯各部分的应力应变技巧一、/拉深过程中变形毛坯各部分的应力与应变状态二、/拉深变形过程的力学分析
1;所有标注为智造资料网zl.fbzzw.cn的内容均为本站所有,版权均属本站所有,若您需要引用、转载,必须注明来源及原文链接即可,如涉及大面积转载,请来信告知,获取《授权协议》。
2;本网站图片,文字之类版权申明,因为网站可以由注册用户自行上传图片或文字,本网站无法鉴别所上传图片或文字的知识版权,如果侵犯,请及时通知我们,本网站将在第一时间及时删除,相关侵权责任均由相应上传用户自行承担。
[complaint:内容投诉]
智造资料网打造智能制造3D图纸下载,在线视频,软件下载,在线问答综合平台 » 拉伸模具之拉深过程中变形与毛坯各部分的应力应变技巧一、/拉深过程中变形毛坯各部分的应力与应变状态二、/拉深变形过程的力学分析

